关闭
             
             
        家庭咨询行业头等品牌
官方认证!荣获 [高新技术企业]
 
        
                1000万
            
            公司注册资金1000万
        
                数据来源:国家企业信用信息公示系统
            
             
            2000㎡
            
                办公场地总计2000余平米
            
        数据来源:实景拍摄
             
            130位
            
                130位全职心理学家专业服务
            
        专家团队
             
            5家
            
                在全国设立5家分公司
            
        数据来源:爱企查
             
            16项
            
                拥有16个心理相关软著证书
            
        数据来源:中国国家版权局
             
            78万
            
                全国已接受服务的家庭超过78万家
            
        数据来源:企业微信
             
            
                4.6亿次
            
            
                全国超4.6亿人次了解过雅方家庭咨询
            
        数据来源:百度营销
             
            真实反馈
金杯银杯不如一个好口碑
+
        社会精英的选择
来自各个领域的精英父母也选择雅方
+
        COLLECTIVE CREDIT
我们的荣誉
CONCEPT
雅方咨询理念
EXCLUSIVE RESEARCH
百名资深心理咨询师研发
4630系统
MEDIA NEWS
新闻媒体
EXPERT TEAM
/ 专家风采
EXPERT DOCTOR
专家博士团队
全职专家
 
             
             
             
             
             
             
             
             
             
             
             
             
             
             
             
             
             
             
             
             
             
             
             
             
             
             
             
             
             
             
             
             
             
             
             
             
             
             
             
             
             
             
             
             
             
             
             
             
             
             
             
             
             
             
             
             
             
             
             
             
             
             
             
             
             
             
             
             
             
             
             
             
             
             
             
             
             
             
             
             
             
             
             
             
             
             
             
             
             
             
             
             
             
             
             
             
             
             
             
             
             
             
             
             
             
             
             
             
             
             
             
             
             
             
             
             
             
             
             
             
             
             
             
             
             
             
             
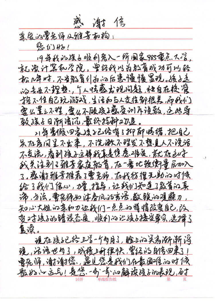
            THANK YOU LETTER
家长感谢信
 
        公司前台
                    COMPANY RECEPTION DESK
                    雅方咨询VR展示
                             
                            点击走进雅方
                        专家风采一角
                EXPERT STYLE
                 
                
                    客户赠送锦集 部分
                
                PRESENT BROCADE FLAG
                 
                全体专家老师
                ALL EXPERT TEACHERS
                 
                心理沙盘室
                PSYCHOLOGICAL SAND TABLE ROOM
                 
                学习交流会议室
                CONFERENCE ROOM
                 
                 
            
                    电话:4000-521-120
河南省郑州市中原区西元国际东塔B座9层
                
 
        
     
    







 
                     
                     
                     
                     
                     
                     
                     
                     
                     
                     
                     
                     
                     
                     
                     
                     
                     
                     
                     
                     
                     
                     
                     
                     
                     
                     
                     
                 
                 
                 
                 
                 
                 
                 
                 
                 
             
                 
                 
                     
                     
                     
                     
                     
                     
                     
                     
                     
                     
                     
                     
                     
                     
                     
                     
                     
                     
                     
                     
                     
                     
                    




 
                     
                